2022年05月23日中外香料香精第一资讯浏览量:0
半夏,药草名。多年生草本植物,叶子有长柄,初夏开黄绿色花。地下有白色小块茎,可入药,生用有毒,内服须限用。
引《礼记·月令》:“﹝仲夏之月﹞鹿角解,蝉始鸣,半夏生,木菫荣。”
郑玄 注:“半夏,药草。”
《急就篇》卷四:“半夏皁荚艾槖吾。”
颜师古 注:“半夏,五月苗始生,居夏之半,故为名也。”
唐 王建 《寄刘蕡问疾》诗:“赊来半夏熏煎尽,投着山中旧主人。”
宋 孔平仲 《常父寄半夏》诗:“齐州多半夏,採自鹊山阳。”

半夏(学名:Pinellia ternata)又名三叶半夏(山西、河南、广西)、三步跳(湖北、四川、贵州、云南)、麻芋果(贵州)、田里心、无心菜、燕子尾、地慈姑、地鹧鸪、地文、和姑、守田(古称)、贝母等,是天南星科半夏属植物。除内蒙古、青海、新疆、西藏外的中国各省份以及朝鲜半岛、日本等地有野生分布,野生半夏生长于海拔 2500 米以下,多见于草地、荒地、玉米地、田边或疏林下。
中医学认为,半夏具有消痰、镇咳、镇吐、祛风、消痉、消瘀等作用,前194年左右的医方《五十二病方》中已有半夏入药的记载,一些含有半夏的中药方近年来成为了现代医学的研究对象,并在部分病症的治疗作用上通过了双盲实验。药用半夏在中国的甘肃、贵州、云南、山西、山东和湖北等省区广泛栽培,形成产业。
半夏在东亚文化中具有一定地位。在中国,半夏常以双关语的身份出现在古代文学作品中。日本则有名为“半夏生”的杂节,约在每年的7月1-2日庆祝这一节日,不同地区各有一些特定的习俗。
名字的由来
半夏的学名中,属名来源于16世纪意大利植物学家乔瓦尼·文森佐·派内利,种加词意为“三出的,三数的”,指的是半夏三出的复叶。半夏最早由卡尔·彼得·通贝里于1784年描述,最初分类于天南星科疆南星属,并命名为Arum ternatum,1901年由牧野富太郎改为现名。
中文正式名“半夏”的来源争议较大,这一词汇最早见于《礼记·月令》,原文是对小暑时节物候的记录,称半夏在小暑时节生:
小暑至,螳螂生。鵙始鸣,反舌无声。……是月也,…… 半夏生,木堇荣。
颜师古《急就篇注》中也说:“半夏,五月苗始生,居夏之半,故为名也。”这一时间与礼记基本一致,但并不符合事实。
日本药学家森立之在《本草经考注》中称,他认为,所谓的“半夏生”指的是结果与采摘,而不是发芽,中国植物学家夏纬瑛在《植物名释札记》中也发表了类似的观点。此说与事实相符。
夏纬瑛也在书中反驳了他人提出的“如今的半夏与古时所谓的‘半夏’非同一植物,古代的‘半夏’可能就是五月发芽的”这一观点,他称,如果不能说出所谓的“古代半夏”是今日的何种植物,那么这一观点就没有学术意义。
形态特征
茎叶
半夏一般有叶2-5枚,少数1枚。叶柄长15-20厘米,基部具鞘,鞘内、鞘部以上或叶片基部有直径3-5毫米的珠芽,珠芽是半夏的营养繁殖结构,在母株上或落地后可以萌发形成新植株。
幼叶为全缘,卵状心形至戟形,长2-3厘米,宽2-2.5厘米,发育过程中逐步分裂,直至成熟叶片3全裂。小叶长圆状椭圆形、披针形、竹叶形或芍药叶形,中裂片长3-10厘米,宽1-3厘米;侧裂片稍短;全缘或具不明显的浅波状圆齿。叶片有密集的细网状叶脉,侧脉8-10对,细弱,集合脉2圈。
块茎圆球形,直径1-2厘米,具须根。
花
花序柄长25-35厘米,半夏的花属于佛焰苞结构,佛焰苞绿色或绿白色,管部呈狭圆柱形,长1.5-2厘米;檐部长圆形,绿色,有时边缘青紫色,长4-5厘米,宽1.5厘米,钝或锐尖。
半夏的花序属于肉穗花序,雌花序长2厘米,雄花序长5-7毫米,其中间隔3毫米,同一植株的雌雄两个花序包裹在同一佛焰苞里。附属器绿色变青紫色,长6-10厘米,直立,有时“S”形弯曲。
果实
半夏的果实属于浆果,呈黄绿色卵圆形,从花序管部的下部产生。

分布区与生境
半夏广泛分布于除内蒙古、青海、新疆、西藏外的中国各省份和朝鲜、日本,杂草性明显,常生于草坡、荒滩、田边或疏林下,以及玉米、小麦等旱地作物的田地里。
半夏在海拔2500米以下的中国大部分地区都能生长,但土层深厚、肥沃、pH 5.6-7的偏酸性壤土或砂壤土、20-50%的土壤含水量为最适宜的环境。
半夏对环境的抗逆性极强,当环境条件如温度、湿度、光照等变得较不利于半夏生存时,植株的地上部分会逐渐枯黄、倒伏,以地下块茎渡过不良环境。当环境条件适宜时,又可重新发芽生长。不论叶的发育状况如何,其“珠芽”均有生命力,因此,倒苗同时又是一次以珠芽为主要繁殖材料的无性繁殖。
半夏的开拓性较差,常常在有限的生境中群集。伴生植物多属喜阴湿植物,具体种类各地差异较大,在长江中下游地区,半夏常与叶下珠、紫花前胡、荩草、向天盏、梓木草、鸡矢藤、三叶鬼针草、野古草等植物共生。在长江以南的竹林和桔林下也常见半夏分布。斜纹夜蛾、小翅蛾、芋双线天蛾等部分鳞翅目昆虫的幼虫以半夏为寄主,鹧鸪也以半夏为食。
早期药理发现、有效成分及临床应用
半夏入药首见于出土于马王堆汉墓中的《马王堆帛书· 五十二病方》中,处方用名为“冶半夏”,《五十二病方》是现存最早的医方,成书年代约在前194年左右。
现代药学、生物学或化学上,对半夏有记载的最早研究是汤汉腾等于1934年用乙醚萃取从半夏中提取出生物碱,并将生物碱视为半夏的有效成分,但未有更深入的研究。
1954年,日本药学家岛田克己从半夏中提取出一种生物碱,100 mg/kg的剂量能使猫处于镇静状态。
大盐春治于1978年从半夏中提取出左旋麻黄碱和胆碱,发现0.5~1.0 mg/kg的左旋麻黄碱可以抑制阿朴吗啡所致的小猎犬呕吐,他因此认为左旋麻黄碱是半夏镇吐的有效成分,同时发现胆碱也有镇痛作用。
半夏中含有生物碱、有机酸、多糖、甾醇、半夏蛋白、氨基酸、挥发油及无机元素等多种化学成分,半夏中分离出的单一生物碱有1-麻黄碱、胆碱、鸟苷、胸苷、次黄嘌呤核苷等。
但半夏准确的有效成分尚无共识,《中华人民共和国药典》没有规定半夏的指标成分。对于半夏的有效成分究竟为何,存在若干种不同观点。
鹿野美弘于1987年从半夏中分离出鸟苷,并认为是半夏的有效成分。
半夏以干燥块茎入药,药材名半夏(Rhizoma Pinelliae)。
中医认为,半夏具有消痰、镇咳、镇吐、祛风、消痉、消瘀等作用。
中药制剂半夏厚朴汤近年来因其对抑郁和癌症化疗引发的呕吐具有治疗作用而备受关注,钩藤散对血管性痴呆的治疗作用已通过了双盲实验,柴朴汤对哮喘、慢性支气管炎和支气管扩张的良好治疗效果已通过多中心临床试验证实。
半夏的现代药理学研究与临床进展
1、半夏(Pinellia ternata (Thunb.) Breit)其种质资源、遗传多样性及活性成分的综述
药用植物半夏在中国、韩国和日本被广泛使用,已被证明对治疗咳嗽、呕吐、感染和炎症疾病非常有效。现代药理学研究表明其具有多种活性,如镇咳、祛痰、止吐、抗肿瘤、抗菌和镇静催眠等作用。
本文综述了半夏的生物学性状、遗传多样性、活性成分及连作障碍等方面的研究进展,为半夏的开发利用提供参考。
本文以半夏(Pinellia ternata)、遗传多样性、活性成分和连作障碍为关键词,从谷歌Scholar、PubMed、施普林格Link、Wiley在线图书馆、SciFinder、SCOPUS、百度Scholar、中国知网(CNKI)、万万福数据(截至2020年4月)。
半夏是半夏属中应用最广泛的草本植物,治疗多种疾病。近年来,人们对半夏的遗传多样性进行了广泛的研究,证明了半夏在中国具有较高的遗传多样性水平。现代药理学研究表明,氨基酸、生物碱和多糖是支持半夏药理作用的主要活性成分。然而,目前还没有一种有效的方法来确定其活性成分。评价半夏药材质量标准的方法有待进一步优化。连作障碍对半夏的数量和质量有显著影响。连作障碍的内在机理有待进一步研究。
半夏已成为一种宝贵的传统药物来源。部分药用价值已被药理学研究证实。然而,需要建立一种更有效的基于多个质量标记的PR质量评价方法。此外,还应引入高效液相色谱(HPLC)和DNA条形码技术来鉴定PR的真实性。此外,还应研究PR主要活性成分代谢合成途径中涉及的基因、群体遗传关系、加工PR的质量控制、连作障碍有待进一步阐明。我们希望这篇综述能为更好地利用这一珍贵药材提供参考。

本文综述了半夏的植物学性状、遗传多样性、活性成分及连作障碍等方面的研究进展。虽然近几年来半夏的药理学研究取得了显著进展,但仍有一些方面需要进一步研究以填补目前的知识空白。
首先,建立有效的中药质量控制方法是非常重要的。目前,许多中药材的质量是由多个Q标记来监控的。以人参为例,采用人参皂苷Rg、人参皂苷Re、人参皂苷Rb评价人参的质量。中医包括许多复杂的组成部分,发挥协同作用。因此,仅仅依靠一个Q-标记来进行公关质量控制是不够的。此外,琥珀酸还可以在许多其他药用植物中找到,如当归、光叶菖蒲和中国菟丝子。根据我们之前的研究和文献报道,我们建议琥珀酸、腺苷和鸟苷可以作为评价半夏质量的Q标记。
第二,迫切需要建立一种方法来区分半夏和假冒产品。根据中国药典,块茎的p . ternata是半夏唯一药材。然而,由于半夏需求将会增加,其他植物的块茎代替半夏在医药市场,如Pinellia pedatisecta, Arisaemafranchetinum, Arisaema yunnanense,和Arisaema heterophyllum。这些植物的块茎在外观上很相似,很难区分。但这些植物的活性成分差异较大,能否在中药配方中替代半夏及临床应用尚不清楚。此外,这些植物具有一定的药理毒性,使用不当会造成严重的后果。高效液相色谱指纹图谱和DNA条形码技术因其准确性高、成本低而在药用植物鉴定中得到广泛应用。因此,我们建议采用HPLC指纹图谱和DNA条形码相结合的方法来验证半夏的真实性。
此外,对半夏的分子生物学研究也相当有限。以往的研究主要集中在基因克隆和功能鉴定方面。例如,Zhu等人发现了一个新的热休克蛋白基因,可能在响应热应激中发挥重要作用。模式药用植物丹参有2个可用的基因组数据库和50多个转录组数据库。然而,迄今为止,半夏(P. ternate)没有可用的基因组信息,其转录组的描述也很差。这些缺陷阻碍了对虎耳草代谢途径和调控网络的深入了解。此外,这也阻碍了发现具有重要功能基因的努力。为了解决这些问题,我们团队正在对半夏(P. ternate)进行全面的转录组分析,构建其具有药理意义的代谢物的次级代谢通路。未来的研究方向是深入研究半夏的生物活性,挖掘其代谢途径的功能基因以及对微生物的抗性。
另一个重要问题是半夏栖息地的减少。在野外调查中,我们发现野生半夏种群的栖息地已受到严重破坏。这一现象有两个原因。第一,人类活动直接破坏了半夏的栖息地。其次,半夏栖息地周围环境受到污染,如土壤污染、水污染和/或空气污染,影响了半夏的繁殖。野生居群的减少严重影响了半夏的遗传多样性水平。因此,应立即对半夏种质资源进行保护。要做到这一点,我们可以从两个方面采取保护措施。一方面,应在遗传多样性较高的地区建立自然保护区,以保护半夏的自然栖息地免受人类活动的干扰。另一方面,还应收集不同地区的样品,建立半夏种质资源园,为半夏的保护和进一步研究提供依据。
半夏在亚洲已经成功使用了2000多年。未来的研究将重点放在利用先进的分析方法来评价和表征生根和加工后的半夏根际微生物组的活性成分。根际微生物组与半夏根际微生物组的相互作用需要通过宏基因组学、根系检测系统和全长转录组分析来进一步探索。整合转录组学、蛋白质组学、代谢组学和基因组学分析,为参与次级代谢物合成的功能基因提供新的见解也是有必要的。
2、半夏的药效测定及其蛋白质组学研究神经系统发育
半夏(BX)是半夏(Pinellia ternata, Thunb.)的干块茎,一种常用的中药,用于治疗孕妇的咳嗽、痰和呕吐。然而,生半夏已被证明对生殖产生毒性作用,其精确和全面的机制仍不清楚。
我们采用了基于iTRAQ(相对和绝对定量等压标记,iTRAQ)的蛋白质组学方法,探讨了生半夏诱导小鼠胎儿毒性的机制。
小鼠被分为两组,对照组和半夏治疗组。妊娠6 ~ 8 d,对照组给予生理盐水,半夏组给予半夏混悬液(2.275 g/kg/d)。采用iTRAQ定量蛋白质组学方法结合液相色谱-串联质谱(LC-MS/MS)对原肠杆菌进行分离和分析。采用多组学数据分析工具OmicsBean (http://www.omicsbean.cn)对差异丰富蛋白(DAPs)进行生物信息学分析。采用实时荧光定量PCR (qRT-PCR)和western blotting方法检测蛋白表达水平,验证蛋白质组学的质量。共鉴定出1245个蛋白质,错误发现率(FDR) < 1%,有583个蛋白质丰度变化。此外,在半夏处理的样品中鉴定出153个蛋白具有显著的丰度差异。生物信息学分析表明,37个DAPs的功能主要与神经系统发育有关。选择的用于qRT-PCR或western blotting定量的蛋白表达水平与iTRAQ标记的蛋白质组学数据结果一致。提示小鼠口服半夏可引起胎儿神经系统异常。这些发现可能有助于阐明半夏诱导的胚胎毒性的潜在机制。

3、从系统药理学角度揭示半夏-夏枯草对治疗睡眠障碍的药理作用机制
睡眠障碍发病率高,严重影响生活质量、心理健康,甚至躯体疾病的表现。半夏(半夏)与夏枯草(夏枯草)合用,被称为半夏-夏枯草中草药对(BXHP),因其临床疗效显著,已被广泛用于治疗SD,是一种久经验证的中草药。然而,其活性药理成分和镇静催眠作用机制尚未完全阐明。因此,本研究采用系统的药理学方法,通过构建蛋白-蛋白相互作用网络和睡眠障碍相关和半夏-夏枯草中草药对相关靶点注释数据库,开展药代动力学筛选和靶点预测。进行了可视化、筛选和综合发现富集分析。BXHP化学数据库包含166个化合物,通过药代动力学评价筛选出22个潜在活性分子。对114个活性分子的靶标进行了预测,筛选出34个进行进一步分析。最后,基因本体论和京都基因与基因组百科全书通路分析表明,BXHP具有减轻炎症反应的作用。并通过多靶点和途径调节免疫相关和中枢神经系统神经递质。本研究采用系统药理学方法,进一步从整体角度阐明了BXHP治疗SD的作用机制,并对中草药的系统作用机制有了一定的认识。

4、基于网络药理学预测传统药物半夏对胃肠动力障碍的作用机制
半夏(Pinellia ternata Breitenbach,PTB)是中国、日本和韩国广泛使用的中草药。它有止吐、消炎、止咳和镇静的作用。生半夏有毒,但使用明矾溶液或长时间煮沸可以使其更安全。此外,PTB似乎对胃肠道运动障碍(GMDs)有效,但这尚未得到最终证实。本文利用中药药理学数据库和分析平台,对PTB化合物、靶标和相关疾病进行了研究。靶基因信息通过UniProt数据库确认。利用Cytoscape 3.8.2建立网络,利用Cytoscape stringApp搜索GMD相关基因。研究了PTB提取物对Cajal和GMD小鼠模型间质细胞起搏器电位的影响。共发现12个化合物针对13个GMD相关基因。在动物实验中,与体内对照组相比,PTB在体外能更好地调节起搏器电位,抑制GMD体征。动物研究表明,PTB的作用机制与胃肠道运动密切相关。结果表明,PTB为GMDs的治疗提供了一种潜在的手段,我们认为PTB中包括油酸在内的12个主要成分与13个GMD相关基因的关系可以解释GMDs的药用机制。

5、半夏块茎(干半夏根茎)生药挥发油的化学成分及主要气味活性成分
采用毛细管气相色谱法(GC)和质谱法(MS)对半夏根茎(PINELLIA TUBER,日文名:Hange)挥发油的化学成分进行了研究。从半夏中分离出114种化合物,占总化合物的90.6%。这种无色油有一种辛辣和木香的气味。主要成分为β-荜澄茄油烯(β-cubebene)(8.8%)、苍术酮(atractylon)(7.8%)、甲基丁香酚(6.2%)和δ-杜松烯(cadinene)(5.3%)。通过气相色谱-嗅觉法(GC-O)和香气提取物稀释法(AEDA),从半夏挥发油中鉴定出15种主要气味活性化合物。风味稀释因子(FD)因子最高的是黄樟素(safrole)(辣)和β-vatirenene (木本),FD因子为128,其次是丹皮酚(paeonol)(FD=64,木本,辣),α-葎草烯(humulene) (FD=64;木质)、β-苯萘(phenylnaphthalene)(FD= 64;辣的)。

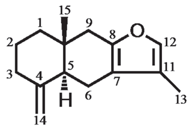
苍术酮的结构式
参考文献:
[1] Renjun Mao, Zhigui He, Pinellia ternata(Thunb.) Breit: A review of its germplasm resources, genetic diversity andactive components, Journal of Ethnopharmacology,
2020, 263, 113252,doi.10.1016/j.jep.2020.113252.
[2] Jian-ya Xu, Chen Dai, Jin-jun Shan,Tong Xie, Hui-hui Xie, Ming-ming Wang, Guang Yang, Determination of the effectof Pinellia ternata (Thunb.) Breit. on nervous system development byproteomics, Journal of Ethnopharmacology, 2018, 213, 221-229, doi.10.1016/j.jep.2017.11.014.
[3] Guo, J., Lou, MP., Hu, LL. et al.Uncovering the pharmacological mechanism of the effects of the Banxia-XiakucaoChinese Herb Pair on sleep disorder by a systems pharmacology approach. Sci Rep10, 20454 (2020). https://doi.org/10.1038/s41598-020-77431-1
[4] Choi NR, Park J, Ko S-J, Kim JN, ChoiW, Park J-W, Kim BJ. Prediction of the Medicinal Mechanisms of Pinellia ternataBreitenbach, a Traditional Medicine for Gastrointestinal Motility Disorders,through Network Pharmacology. Plants. 2022; 11(10):1348. https://doi.org/10.3390/plants11101348
[5] Megumi Iwasa, Toshiki Iwasaki, ToshirouOno and Mitsuo Miyazawa. Chemical Composition and Major Odor-Active Compoundsof Essential Oil from Pinellia Tuber (Dried Rhizome of Pinelliaternata) as Crude Drug. Journal of Oleo Science, 2014, 63(2): 127-135. doi:10.5650/jos.ess13092

在清晨淋浴后那抹清新柑橘香中,在洗衣晾晒后衣物飘散的淡雅花香里,日化香精悄无声息地塑造着我们的日常生活体验。
2026-01-03香精公司
神经科学研究表明,气味是人类最古老的感官之一,与记忆和情绪的联系最为直接。当特定气味与品牌建立稳定关联时,便形成了难以复制的竞争优势。
2025-12-27香精公司
香精,这个曾经仅仅作为产品功能附加值的成分,如今已演变为品牌叙事中的核心角色,成为连接产品功能与消费者情感的关键桥梁。
2025-12-11香精公司
从沐浴露的清新前调到香水的复杂尾韵,香精不再仅仅是产品的附加属性,而是化身为品牌与消费者建立情感连接的桥梁,成为驱动购买决策的新引擎。
2025-11-29香精公司
本文将深入剖析日化香精行业的市场规模与核心增长动力,探寻这片“香”场未来的机遇所在。
2025-11-15香精厂家